数据结构与算法-树
# 数据结构与算法-树
# 树结构
生活中的树

树结构的特点:
- 树一般都有一个根,连接着根的是树干;
- 树干会发生分叉,形成许多树枝,树枝会继续分化成更小的树枝;
- 树枝的最后是叶子;
现实生活中很多结构都是树的抽象,模拟的树结构相当于旋转 180° 的树。

# 树的优点
树结构对比于数组/链表/哈希表有哪些优势呢?
数组:
优点:可以通过下标值访问,效率高;
缺点:
- 查找数据时需要先对数据进行排序,生成有序数组,才能提高查找效率;
- 在插入和删除元素时,需要大量的位移操作;
链表:
- 优点:数据的插入和删除操作效率都很高;
- 缺点:
- 查找效率低,需要从头开始依次查找,直到找到目标数据为止;
- 如果要插入和删除中间位置的数据,需要重头先找到对应的数据。查找效率不高。
哈希表:
- 优点:哈希表的插入/查询/删除效率都非常高;
- 缺点:
- 空间利用率不高,底层使用的数组中很多单元没有被利用;
- 并且哈希表中的元素是无序的,不能按照固定顺序遍历哈希表中的元素;
- 而且不能快速找出哈希表中最大值或最小值这些特殊值。
树结构:
- 优点:树结构综合了上述三种结构的优点,同时也弥补了它们存在的缺点(虽然效率不一定都比它们高),比如树结构中数据都是有序的,查找效率高;空间利用率高;并且可以快速获取最大值和最小值等。
- 而且为了模拟某些场景,我们使用树结构会更加方便。比如文件的目录结构、部门结构
# 树的术语
# 树的定义
树(Tree):由 n(n ≥ 0)个节点构成的有限集合。当 n = 0 时,称为空树。
对于任意一棵非空树(n > 0),它具备以下性质:
- 数中有一个称为根(Root)的特殊节点,用 r 表示;
- 其余节点可分为 m(m > 0)个互不相交的有限集合 T1,T2,...,Tm,其中每个集合本身又是一棵树,称为原来树的子树(SubTree)。

树的常用术语:
- 节点的度(Degree):节点的子树个数,比如节点 B 的度为 2;
- 树的度:树的所有节点中最大的度数,如上图树的度为 2;
- 叶节点(Leaf):度为 0 的节点(也称为叶子节点),如上图的 H,I 等;
- 父节点(Parent):度不为 0 的节点称为父节点,如上图节点 B 是节点 D 和 E 的父节点;
- 子节点(Child):若 B 是 D 的父节点,那么 D 就是 B 的子节点;
- 兄弟节点(Sibling):具有同一父节点的各节点彼此是兄弟节点,比如上图的 B 和 C,D 和 E 互为兄弟节点;
- 路径和路径长度:路径指的是一个节点到另一节点的通道,路径所包含边的个数称为路径长度,比如 A->H 的路径长度为 3;
- 节点的层次(Level):规定根节点在 1 层,其他任一节点的层数是其父节点的层数加 1。如 B 和 C 节点的层次为 2;
- 树的深度(Depth):树中所有节点中的最大层次是这棵树的深度,如上图树的深度为 4;
# 树的表示
树有多种表示方式
# 最普通表示

如图,树结构的组成方式类似于链表,都是由一个个节点连接构成。
不过,根据每个父节点子节点数量的不同,每一个父节点需要的引用数量也不同。比如节点 A 需要 3 个引用,分别指向子节点 B,C,D;B 节点需要 2 个引用,分别指向子节点 E 和 F;K 节点由于没有子节点,所以不需要引用。
这种方法缺点在于我们无法确定某一节点的引用数。
在代码实现时无法很好地进行标识,比如A节点有B、C、D三个子节点,如果再有X、Y、Z三个子节点,表示就有一定的困难性。
//节点A
Node{
//存储数据
this.data = data
//统一只记录左边的子节点
this.left = B
this.middle = C
this.right = D
// X Y Z如何表示呢
// ...
}
# 儿子-兄弟表示法

这种表示方法可以完整地记录每个节点的数据。
每个节点只有两个引用,一个引用指向子节点,没有子节点则为null;另一个引用指向兄弟节点,没有则为null。
这种表示法的优点在于每一个节点中引用的数量都是确定的。
// 节点A
Node{
// 存储数据
this.data = data
// 统一只记录左边的子节点
this.leftChild = B
// 统一只记录右边的第一个兄弟节点
this.rightSibling = null
}
// 节点B
Node{
this.data = data
this.leftChild = E
this.rightSibling = C
}
// 节点F
Node{
this.data = data
this.leftChild = null
this.rightSibling = null
}
每个节点只需要3个属性,就可以完整地记录每个节点的数据。
# 儿子-兄弟表示法旋转
儿子-兄弟表示法组成的树结构顺时针旋转 45° 。
表示:

旋转后节点的引用可看作左右引用,左引用指向子节点,右引用指向兄弟节点。
每个节点最多只有两个子节点,这样就成为了一棵二叉树,由此我们可以得出结论:所有的树本质上都可以使用二叉树模拟出来。
# 二叉树
如果树中每个节点最多有两个子节点,这样的树就称为二叉树。
二叉树可以为空,也就是没有节点;若不为空,则它是由根结点和称为其左子树TL和右子树TR的两个不相交的二叉树组成。
# 二叉树的形态
二叉树有五种形态:
- 空的二叉树
- 只有一个节点的二叉树
- 只有左子树 TL 的二叉树
- 只有右子树 TR 的二叉树
- 有左右两个子树的二叉树。

# 二叉树的特性
二叉树有几个比较重要的特性:
- 一个二叉树的第 i 层的最大节点数为:,i >= 1
- 深度为 k 的二叉树的最大节点总数为: ,k >= 1
- 对任何非空二叉树,若 表示叶子节点的个数,表示度为 2 的非叶子节点个数,那么两者满足关系:;

如上图所示:H,E,I,J,G 为叶子节点,总数为 5;A,B,C,F 为度为 2 的非叶子节点,总数为 4;满足 的规律。
证明:假设有一个二叉树,度为2的节点有个,度为1的节点有个,叶子节点有个,那么这个二叉树的边数为;又这个二叉树的边数为;所以,即 。也就是叶子节点个数总比度为2的节点个数多1个。
# 特殊的二叉树
完美二叉树(Perfect Binary Tree)也称为满二叉树(Full Binary Tree),在二叉树中,除了最下一层的叶子节点外,每层节点都有 2 个子节点,这就构成了完美二叉树。

完全二叉树(Complete Binary Tree):
- 除了二叉树最后一层外,其他各层的节点数都达到了最大值;
- 并且,最后一层的叶子节点从左向右是连续存在,只缺失右侧若干叶子节点;
- 完美二叉树是特殊的完全二叉树;
下面不是完全二叉树,因为D节点还没有右结点,但是E节点就有了左右节点。不满足最后一层的叶子节点从左向右是连续存在。如果K节点是D的叶子节点而不是E的,那么就是完全二叉树。

# 二叉树的数据存储
常见的二叉树存储方式为数组和链表。
# 使用数组
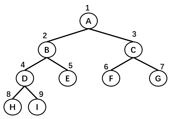
完全二叉树:按从上到下,从左到右的方式存储数据。

| 节点 | A | B | C | D | E | F | G | H | I |
|---|---|---|---|---|---|---|---|---|---|
| 序号 | 1 | 2 | 3 | 4 | 5 | 6 | 7 | 8 | 9 |
使用数组存储时,取数据的时候也十分方便:左子节点的序号等于父节点序号 * 2,右子节点的序号等于父节点序号 * 2 + 1 。
非完全二叉树要转成完全二叉树才可以按照上面的方案存储,但是会造成很大的空间浪费,需要将一般二叉树转换成对应的完全二叉树,然后再存储数据。

| 节点 | A | B | C | ^ | ^ | F | ^ | ^ | ^ | ^ | ^ | ^ | M |
|---|---|---|---|---|---|---|---|---|---|---|---|---|---|
| 序号 | 1 | 2 | 3 | 4 | 5 | 6 | 7 | 8 | 9 | 10 | 11 | 12 | 13 |
# 使用链表
二叉树最常见的存储方式为链表:每一个节点封装成一个 Node,Node 中包含存储的数据、左节点的引用和右节点的引用。
